首页
技术小册
AIGC
面试刷题
技术文章
MAGENTO
云计算
视频课程
源码下载
PDF书籍
「涨薪秘籍」
登录
注册
基础介绍
监督学习范式
观测和目标编码
PyTorch 基础
传统 NLP 快速回顾
感知机:最简单的神经网络
深入监督学习
示例:分类餐馆评论的情感
自然语言处理的前馈网络
多层感知机
在测试数据集上评估
嵌入单词和类型
为什么要学习嵌入?
嵌入的有效性
词嵌入之间的关系
示例:学习单词嵌入的连续词袋
新闻分类器
自然语言处理的序列模型
循环神经网络简介
实现 Elman RNN
示例:使用字符 RNN 分类姓氏国籍
自然语言处理的进阶序列模型
原始 RNN(Elman RNNs)的问题
示例:用于生成姓氏的字符 RNN
向量化数据结构
从ElmanRNN到 GRU
高级序列模型
从序列中捕获更多:双向循环模型
深度神经网络中的注意力
对话和交互系统
NLP 的前沿
生产 NLP 系统的设计模式
后续之路
当前位置:
首页>>
技术小册>>
PyTorch 自然语言处理
小册名称:PyTorch 自然语言处理
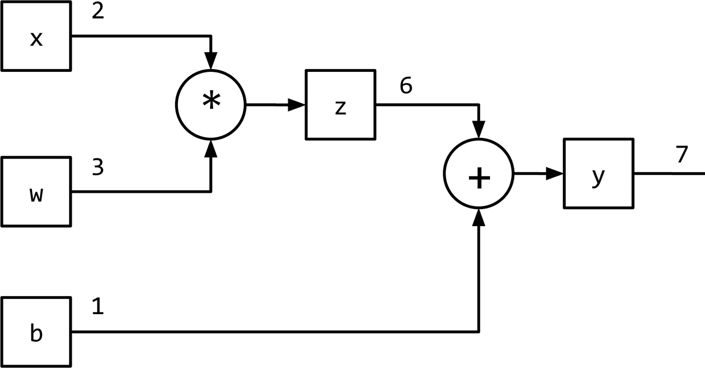
我们需要用数字表示观测值(文本),以便与机器学习算法一起使用。图 1-2 给出了一个可视化的描述。  表示文本的一种简单方法是用数字向量表示。有无数种方法可以执行这种映射/表示。事实上,本书的大部分内容都致力于从数据中学习此类任务表示。然而,我们从基于启发式的一些简单的基于计数的表示开始。虽然简单,但是它们非常强大,或者可以作为更丰富的表示学习的起点。所有这些基于计数的表示都是从一个固定维数的向量开始的。 ### 单热表示 顾名思义,单热表示从一个零向量开始,如果单词出现在句子或文档中,则将向量中的相应条目设置为 1。考虑下面两句话。 ```py Time flies like an arrow. Fruit flies like a banana. ``` 对句子进行标记,忽略标点符号,并将所有的单词都用小写字母表示,就会得到一个大小为 8 的词汇表:`{time, fruit, flies, like, a, an, arrow, banana}`。所以,我们可以用一个八维的单热向量来表示每个单词。在本书中,我们使用`1[w]`表示标记/单词`w`的单热表示。 对于短语、句子或文档,压缩的单热表示仅仅是其组成词的逻辑或的单热表示。使用图 1-3 所示的编码,短语`like a banana`的单热表示将是一个`3×8`矩阵,其中的列是 8 维的单热向量。通常还会看到“折叠”或二进制编码,其中文本/短语由词汇表长度的向量表示,用 0 和 1 表示单词的缺失或存在。`like a banana`的二进制编码是:`[0,0,0,1,1,0,0,1]`。  * * * 注意:在这一点上,如果你觉得我们把`flies`的两种不同的意思(或感觉)搞混了,恭喜你,聪明的读者!语言充满了歧义,但是我们仍然可以通过极其简化的假设来构建有用的解决方案。学习特定于意义的表示是可能的,但是我们现在做得有些超前了。 * * * 尽管对于本书中的输入,我们很少使用除了单热表示之外的其他表示,但是由于 NLP 中受欢迎、历史原因和完成目的,我们现在介绍术语频率(TF)和术语频率反转文档频率(TF-idf)表示。这些表示在信息检索(IR)中有着悠久的历史,甚至在今天的生产 NLP 系统中也得到了广泛的应用。(翻译有不足) ### TF 表示 短语、句子或文档的 TF 表示仅仅是构成词的单热的总和。为了继续我们愚蠢的示例,使用前面提到的单热编码,`Fruit flies like time flies a fruit`这句话具有以下 TF 表示:[1,2,2,1,1,1,0,0]。注意,每个条目是句子(语料库)中出现相应单词的次数的计数。我们用 TF(w)表示一个单词的 TF。 示例 1-1:使用 sklearn 生成“塌陷的”单热或二进制表示 ```py from sklearn.feature_extraction.text import CountVectorizer import seaborn as sns corpus = ['Time flies flies like an arrow.', 'Fruit flies like a banana.'] one_hot_vectorizer = CountVectorizer(binary=True) one_hot = one_hot_vectorizer.fit_transform(corpus).toarray() sns.heatmap(one_hot, annot=True, cbar=False, xticklabels=vocab, yticklabels=['Sentence 1', 'Sentence 2']) ```  折叠的单热是一个向量中有多个 1 的单热 ### TF-IDF 表示 考虑一组专利文件。您可能希望它们中的大多数都有诸如`claim`、`system`、`method`、`procedure`等单词,并且经常重复多次。TF 表示对更频繁的单词进行加权。然而,像`claim`这样的常用词并不能增加我们对具体专利的理解。相反,如果`tetrafluoroethylene`这样罕见的词出现的频率较低,但很可能表明专利文件的性质,我们希望在我们的表述中赋予它更大的权重。反文档频率(IDF)是一种启发式算法,可以精确地做到这一点。 **IDF 表示惩罚常见的符号,并奖励向量表示中的罕见符号。** 符号`w`的`IDF(w)`对语料库的定义为 其中`n[w]`是包含单词`w`的文档数量,`N`是文档总数。TF-IDF 分数就是`TF(w) * IDF(w)`的乘积。首先,请注意在所有文档(例如,`n[w] = N`), `IDF(w)`为 0, TF-IDF 得分为 0,完全惩罚了这一项。其次,如果一个术语很少出现(可能只出现在一个文档中),那么 IDF 就是`log n`的最大值。 示例 1-2:使用 sklearn 生产 TF-IDF 表示 ```py from sklearn.feature_extraction.text import TfidfVectorizer import seaborn as sns tfidf_vectorizer = TfidfVectorizer() tfidf = tfidf_vectorizer.fit_transform(corpus).toarray() sns.heatmap(tfidf, annot=True, cbar=False, xticklabels=vocab, yticklabels= ['Sentence 1', 'Sentence 2']) ```  在深度学习中,很少看到使用像 TF-IDF 这样的启发式表示对输入进行编码,因为目标是学习一种表示。通常,我们从一个使用整数索引的单热编码和一个特殊的“嵌入查找”层开始构建神经网络的输入。在后面的章节中,我们将给出几个这样做的例子。 ### 目标编码 正如“监督学习范式”所指出的,目标变量的确切性质取决于所解决的 NLP 任务。例如,在机器翻译、摘要和回答问题的情况下,目标也是文本,并使用前面描述的单热编码方法进行编码。 许多 NLP 任务实际上使用分类标签,其中模型必须预测一组固定标签中的一个。对此进行编码的一种常见方法是对每个标签使用惟一索引。当输出标签的数量太大时,这种简单的表示可能会出现问题。这方面的一个例子是语言建模问题,在这个问题中,任务是预测下一个单词,给定过去看到的单词。标签空间是一种语言的全部词汇,它可以很容易地增长到几十万,包括特殊字符、名称等等。我们将在后面的章节中重新讨论这个问题以及如何解决这个问题。 一些 NLP 问题涉及从给定文本中预测一个数值。例如,给定一篇英语文章,我们可能需要分配一个数字评分或可读性评分。给定一个餐馆评论片段,我们可能需要预测直到小数点后第一位的星级。给定用户的推文,我们可能需要预测用户的年龄群。有几种方法可以对数字目标进行编码,但是将目标简单地绑定到分类“容器”中(例如,“0-18”、“19-25”、“25-30”等等),并将其视为有序分类问题是一种合理的方法。 绑定可以是均匀的,也可以是非均匀的,数据驱动的。虽然关于这一点的详细讨论超出了本书的范围,但是我们提请您注意这些问题,因为在这种情况下,目标编码会显著影响性能,我们鼓励您参阅 Dougherty 等人(1995)及其引用。 ## 计算图 图 1-1 将监督学习(训练)范式概括为数据流架构,模型(数学表达式)对输入进行转换以获得预测,损失函数(另一个表达式)提供反馈信号来调整模型的参数。利用计算图数据结构可以方便地实现该数据流。从技术上讲,计算图是对数学表达式建模的抽象。在深度学习的上下文中,计算图的实现(如 Theano、TensorFlow 和 PyTorch)进行了额外的记录(bookkeeping),以实现在监督学习范式中训练期间获取参数梯度所需的自动微分。我们将在“PyTorch 基础知识”中进一步探讨这一点。推理(或预测)就是简单的表达式求值(计算图上的正向流)。让我们看看计算图如何建模表达式。考虑表达式:y=wx+b 这可以写成两个子表达式`z = wx`和`y = z + b`,然后我们可以用一个有向无环图(DAG)表示原始表达式,其中的节点是乘法和加法等数学运算。操作的输入是节点的传入边,操作的输出是传出边。因此,对于表达式`y = wx + b`,计算图如图 1-6 所示。在下一节中,我们将看到 PyTorch 如何让我们以一种直观的方式创建计算图形,以及它如何让我们计算梯度,而无需考虑任何记录(bookkeeping)。 
上一篇:
监督学习范式
下一篇:
PyTorch 基础
该分类下的相关小册推荐:
ChatGPT写作PPT数据与变现
ChatGPT与提示工程(下)
AI大模型入门指南
AI降临:ChatGPT实战与商业变现(上)
用ChatGPT轻松玩转机器学习与深度学习
ChatGPT大模型:技术场景与商业应用(中)
数据分析和数据挖掘实战
python与ChatGPT让excel高效办公(上)
AI时代产品经理:ChatGPT与产品经理(中)
大规模语言模型:从理论到实践(下)
NLP入门到实战精讲(上)
Stable Diffusion:零基础学会AI绘画